β˜•οΈ Numerical equation solving#

This chapter is for your information only, will not be part of the assessment

by Fedor Iskhakov

Description: Bisections and Newton-Raphson methods. Solving equations of one variable. Accuracy of solution. Rates of convergence.

YouTube recording of this lecture in the Foundational of Computational Economics course

Classic algorithm for equation solving#

  1. Bisection method

  2. Newton-Raphson method

Solve equations of the form \( f(x) = 0 \)

Focus on the scalar case today.

Bisection method for solving equations#

Solve equation \( f(x)=0 \), conditional on \( x \in [a,b] \subset \mathbb{R} \) such that \( f(a)f(b)<0 \)

Algorithm: similar to binary search, but in continuous space.

def bisection(f,a=0,b=1,tol=1e-6,maxiter=100,callback=None):
    '''Bisection method for solving equation f(x)=0
    on the interval [a,b], with given tolerance and number of iterations.
    Callback function is invoked at each iteration if given.
    '''
    if f(a)*f(b)>0:
        raise ValueError('Function has the same sign at the bounds')
    for i in range(maxiter):
        err = abs(b-a)
        if err<tol: break
        x = (a+b)/2
        a,b = (x,b) if f(a)*f(x)>0 else (a,x)
        if callback != None: callback(err=err,x=x,iter=i)
    else:
        raise RuntimeError('Failed to converge in %d iterations'%maxiter)
    return x
f = lambda x: -4*x**3+5*x+1
a,b = -3,-.5  # upper and lower limits
x = bisection(f,a,b)
print('Solution is x=%1.3f, f(x)=%1.12f' % (x,f(x)))
Solution is x=-1.000, f(x)=0.000000834465
# make nice plot
import numpy as np
import matplotlib.pyplot as plt
%matplotlib inline
plt.rcParams['figure.figsize'] = [12, 8]
xd = np.linspace(a,b,1000)  # x grid
plt.plot(xd,f(xd),c='red')  # plot the function
plt.plot([a,b],[0,0],c='black')  # plot zero line
ylim=[f(a),min(f(b),0)]
plt.plot([a,a],ylim,c='grey')  # plot lower bound
plt.plot([b,b],ylim,c='grey')  # plot upper bound
def plot_step(x,**kwargs):
    plot_step.counter += 1
    plt.plot([x,x],ylim,c='grey')
plot_step.counter = 0  # new public attribute
bisection(f,a,b,callback=plot_step)
print('Converged in %d steps'%plot_step.counter)
plt.show()
Converged in 22 steps
_images/9507ce66379210b6733a84d5a699cc37a8079abf5615956e525049854d95d22d.png

Newton-Raphson (Newton) method#

General form \( f(x)=0 \)

  • Equation solving

  • Finding maximum/minimum based on FOC, then \( f(x)=Q'(x) \)

Algorithm:

  1. Start with some good guess \( x_0 \) not too far from the solution

  2. Newton step: \( x_{i+1} = x_i - \frac{f(x_i)}{f'(x_i)} \)

  3. Iterate until convergence in some metric

Derivation for Newton method using Taylor series expansion#

\[ f(x) = \sum_{k=0}^{\infty} \frac{f^{(k)}(x_0)}{k!} (x-x_0)^k \]

Take first two terms, assume \( f(x) \) is solution, and let \( x_0=x_i \) and \( x=x_{i+1} \)

\[ 0 = f(x) = f(x_i) + f'(x_i) (x_{i+1}-x_i) \quad \Rightarrow \quad x_{i+1} = x_i - \frac{f(x_i)}{f'(x_i)} \]
def newton(fun,grad,x0,tol=1e-6,maxiter=100,callback=None):
    '''Newton method for solving equation f(x)=0
    with given tolerance and number of iterations.
    Callback function is invoked at each iteration if given.
    '''
    for i in range(maxiter):
        x1 = x0 - fun(x0)/grad(x0)
        err = abs(x1-x0)
        if callback != None: callback(err=err,x0=x0,x1=x1,iter=i)
        if err<tol: break
        x0 = x1
    else:
        raise RuntimeError('Failed to converge in %d iterations'%maxiter)
    return (x0+x1)/2
f = lambda x: -4*x**3+5*x+1
g = lambda x: -12*x**2+5
x = newton(f,g,x0=-2.5,maxiter=7)
print('Solution is x=%1.3f, f(x)=%1.12f' % (x,f(x)))
Solution is x=-1.000, f(x)=0.000000490965
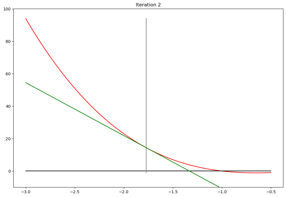
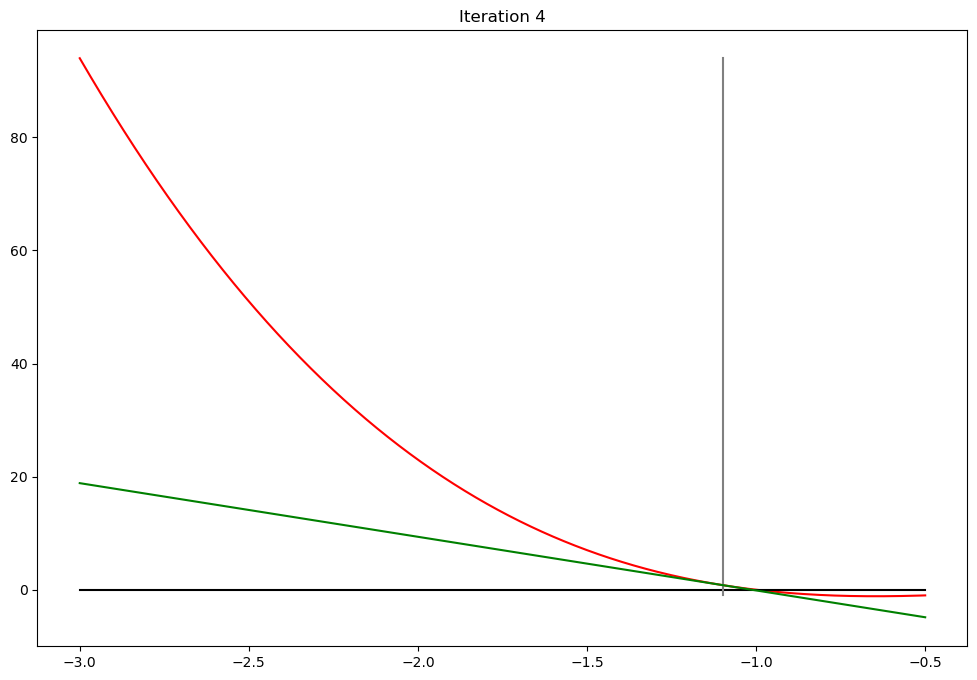
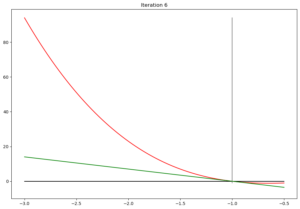
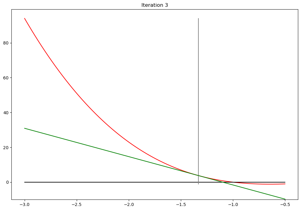
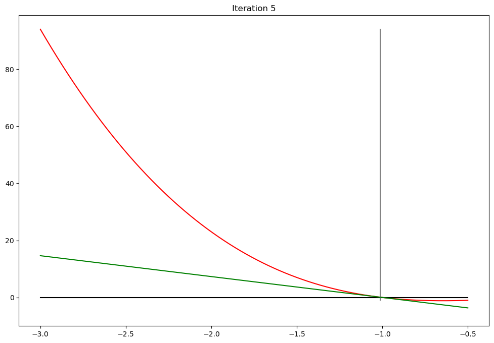
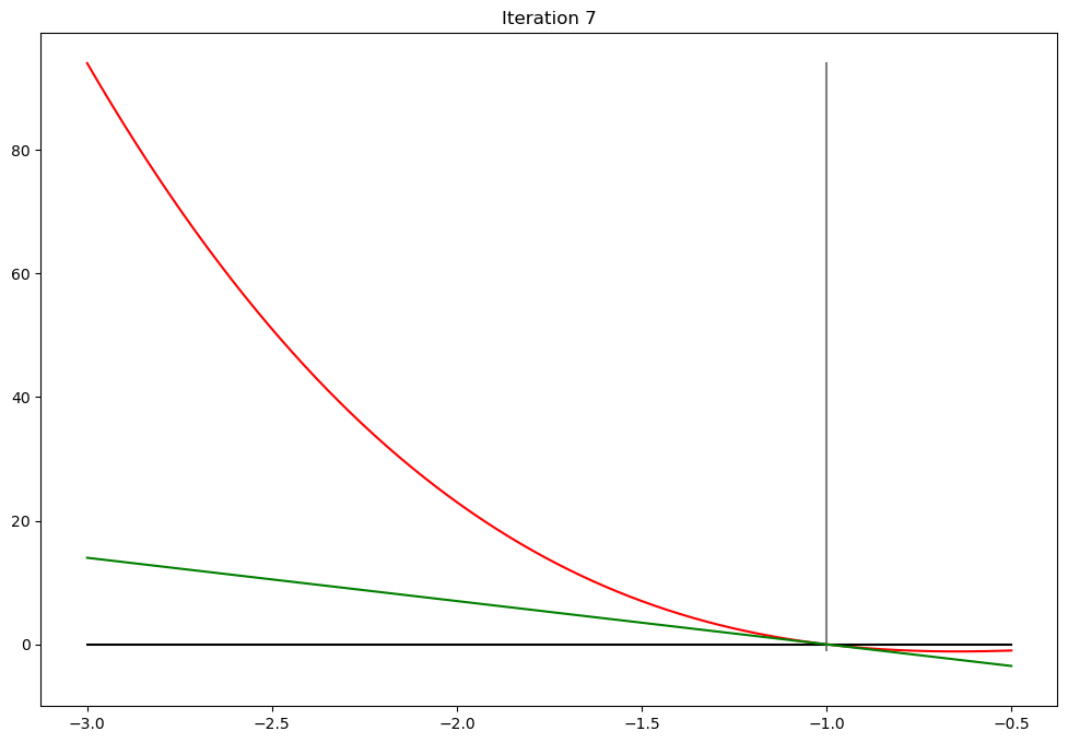
# make nice seriest of plots
a,b = -3,-.5  # upper and lower limits
xd = np.linspace(a,b,1000)  # x grid
def plot_step(x0,x1,iter,**kwargs):
    plot_step.counter += 1
    if iter<10:
        plt.plot(xd,f(xd),c='red')  # plot the function
        plt.plot([a,b],[0,0],c='black')  # plot zero line
        ylim = [min(f(b),0),f(a)]
        plt.plot([x0,x0],ylim,c='grey') # plot x0
        l = lambda z: g(x0)*(z - x1)
        plt.plot(xd,l(xd),c='green')  # plot the function
        plt.ylim(bottom=10*f(b))
        plt.title('Iteration %d'%(iter+1))
        plt.show()
plot_step.counter = 0  # new public attribute
newton(f,g,x0=-2.5,callback=plot_step)
print('Converged in %d steps'%plot_step.counter)
_images/8662a92ffc5c9c1cae1f1c925434e77e49d6f5f7f5ba0a5329cbb8df151f6b3a.png _images/c3622b69603f971ae7171e0a2abc45f07ea4caff50b34bc3db7437e05297173b.png _images/f0ef197809d5a38f090f86d79d932a032e3bc74143109cef280647e5ce88b44f.png _images/e8d49924afdc11d3fd1f137875e2bfdf8cf1af4f42ff73e601c9a31bf1d22852.png _images/30718e8eb192e14a6f4517d4c5c392724f907bfcafc9e6c329145d7f20b217a2.png _images/eae8a4731aebde63b313291b862c49bb4fadaa3627b39dcaaadef580ef290065.png _images/db7e21b7b08d849d365082ce4a84798146091abd3988d00e1fbb9e7e44444ab1.png
Converged in 7 steps

Rate of convergence of the two methods#

  • How fast does a solution method converge on the root of the equation?

  • Rate of convergence = the rate of decrease of the bias (difference between current guess and the solution)

  • Can be approximated by the rate of decrease of the error in the stopping criterion

Bisections: linear convergence

Newton: quadratic convergence

def print_err(iter,err,**kwargs):
    x = kwargs['x'] if 'x' in kwargs.keys() else kwargs['x0']
    print('{:4d}:  x = {:17.14f}  err = {:8.6e}'.format(iter,x,err))

print('Newton method')
newton(f,g,x0=-2.5,callback=print_err,tol=1e-10)

print('Bisection method')
bisection(f,a=-3,b=-0.5,callback=print_err,tol=1e-10)
Newton method
   0:  x = -2.50000000000000  err = 7.285714e-01
   1:  x = -1.77142857142857  err = 4.402791e-01
   2:  x = -1.33114944950557  err = 2.323743e-01
   3:  x = -1.09877514383983  err = 8.562251e-02
   4:  x = -1.01315263007170  err = 1.286646e-02
   5:  x = -1.00028616796687  err = 2.860277e-04
   6:  x = -1.00000014027560  err = 1.402756e-07
   7:  x = -1.00000000000003  err = 3.375078e-14
Bisection method
   0:  x = -1.75000000000000  err = 2.500000e+00
   1:  x = -1.12500000000000  err = 1.250000e+00
   2:  x = -0.81250000000000  err = 6.250000e-01
   3:  x = -0.96875000000000  err = 3.125000e-01
   4:  x = -1.04687500000000  err = 1.562500e-01
   5:  x = -1.00781250000000  err = 7.812500e-02
   6:  x = -0.98828125000000  err = 3.906250e-02
   7:  x = -0.99804687500000  err = 1.953125e-02
   8:  x = -1.00292968750000  err = 9.765625e-03
   9:  x = -1.00048828125000  err = 4.882812e-03
  10:  x = -0.99926757812500  err = 2.441406e-03
  11:  x = -0.99987792968750  err = 1.220703e-03
  12:  x = -1.00018310546875  err = 6.103516e-04
  13:  x = -1.00003051757812  err = 3.051758e-04
  14:  x = -0.99995422363281  err = 1.525879e-04
  15:  x = -0.99999237060547  err = 7.629395e-05
  16:  x = -1.00001144409180  err = 3.814697e-05
  17:  x = -1.00000190734863  err = 1.907349e-05
  18:  x = -0.99999713897705  err = 9.536743e-06
  19:  x = -0.99999952316284  err = 4.768372e-06
  20:  x = -1.00000071525574  err = 2.384186e-06
  21:  x = -1.00000011920929  err = 1.192093e-06
  22:  x = -0.99999982118607  err = 5.960464e-07
  23:  x = -0.99999997019768  err = 2.980232e-07
  24:  x = -1.00000004470348  err = 1.490116e-07
  25:  x = -1.00000000745058  err = 7.450581e-08
  26:  x = -0.99999998882413  err = 3.725290e-08
  27:  x = -0.99999999813735  err = 1.862645e-08
  28:  x = -1.00000000279397  err = 9.313226e-09
  29:  x = -1.00000000046566  err = 4.656613e-09
  30:  x = -0.99999999930151  err = 2.328306e-09
  31:  x = -0.99999999988358  err = 1.164153e-09
  32:  x = -1.00000000017462  err = 5.820766e-10
  33:  x = -1.00000000002910  err = 2.910383e-10
  34:  x = -0.99999999995634  err = 1.455192e-10
-0.9999999999563443

Measuring complexity of Newton and bisection methods#

  • What is the size of input \( n \)?

  • Desired precision of the solution!

  • Thus, attention to the errors in the solution as algorithm proceeds

  • Rate of convergence is part of the computational complexity of the algorithms

Computational complexity of Newton method#

  • Calculating a root of a function f(x) with n-digit precision

  • Provided that a good initial approximation is known

  • Is \( O((logn)F(n)) \), where \( F(n) \) is the cost of

  • calculating \( f(x)/f'(x) \) with \( n \)-digit precision

Further learning resources#