๐ Elements of logic and proofs#
โฑ | words
References and additional materials
[Sydsรฆter, Hammond, Strรธm, and Carvajal, 2016]
Chapters 1.3, 1.4
3blue1brown Grant Sandersonโs video tale of two problem solvers YouTube
Definition
\(\implies\) denotes logical implication:
If whenever logical statment \(P\) is true, \(Q\) is also true, we write \(P \implies Q\).
Example
If \(x\) is an even number, then \(x^2\) is also an even number.
OR
\(x\) is an even \(\implies\) \(x^2\) is also even.
Necessary and Sufficient conditions#
Definition
\(P\) is a sufficient condition for \(Q\) means \(P \implies Q\)
\(P\) is a necessary condition for \(Q\) means \(Q \implies P\), or \(P \impliedby Q\)
Definition
\(P\) is said to be if and only if \(Q\) when \(P \implies Q\) and \(Q \implies P\), also written as \(P \iff Q\)
Example
Converse and contrapositive#
Definition
A logical statement \(P \implies Q\) is converse to \(Q \implies P\)
Definition
A logical statement opposite to \(P\) is denoted \(\neg P\)
Definition
A logical statement \(\neg P \implies \neg Q\) is contrapositive to \(Q \implies P\)
Fact: Contrapositive principle
The statement \(P \implies Q\) is equivalent to the statement \((\text{not } Q) \implies (\text{not }P)\):
this is very handy in proofs: instead of proving a statement it may be easier to prove its contrapositive
Note
There is no logical relationship between a statement and its converse!
bases for common logical mistakes
Example
โAll cats are animals who have tailsโ does not imply โAll animals with tails are catsโ
Types of mathematical proofs#
Direct proof#
\(A\) is true \(\implies\) \(B\) is True \(\implies\) \(S\) is True
Example
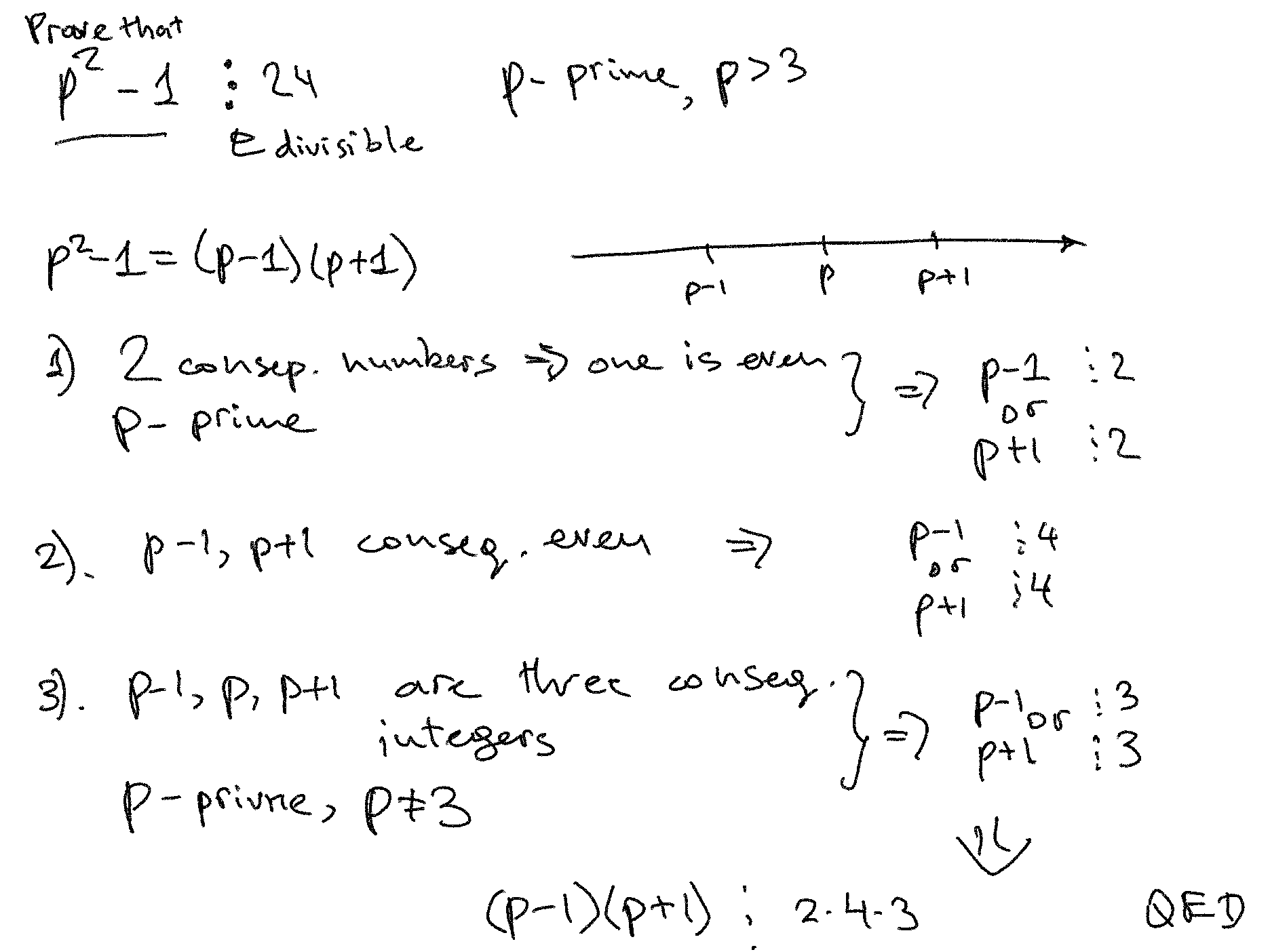
Prove that \(p^2-1\) is divisible by 24 for all prime \(p>3\).
Proof
Note that \(p^2-1 = (p-1)(p+1)\).
Since \(p\) is prime, \(p\) is odd and \(p-1\) and \(p+1\) are even. Thus, \(p^2-1\) is divisible by 2 twice.
Moreover, since \(p-1\) and \(p+1\) are two consecutive even numbers, one of them is divisible not only by 2, but also 4. Thus, \(p^2-1\) is divisible by 8.
Finally, since \(p-1\), \(p\), and \(p+1\) are three consecutive integers, one of them is divisible by 3.
Overall, we have that \(p^2-1 = (p-1)(p+1)\) is divisible by 2, by 4, and by 3, and thus by its product 24. \(\blacksquare\)
Note
The symbol \(\blacksquare\) marks the end of the proof, and is equivalent to the QED symbol (โquod erat demonstrandumโ, or โthat which was to be demonstratedโ).
Proof by contradiction#
Example
Prove that the set of prime numbers is infinite.
Proof
The standard proof of the infinitude of the primes is attributed to Euclid and uses the fact that all integers greater than 1 have a prime factor.
Lemma: Every integer greater than 1 has a prime factor.
Proof. We argue by induction (see below) that each integer \(n > 1\) has a prime factor. For the base case \(n = 2\), 2 is prime and is a factor of itself.
Now assume \(n > 2\), all integers greater than 1 and less than \(n\) have a prime factor. To show \(n\) has a prime factor, we take cases.
Case 1: \(n\) is prime. Since \(n\) is a factor of itself, \(n\) has a prime factor when \(n\) is prime.
Case 2: \(n\) is not prime. Since \(n\) is not prime, it has a factorization \(n = ab\) where \(1 < a,b < n\). Then by the inductive hypothesis, \(a\) has a prime factor, say \(p\). Since \(p | a\) and \(a | n\), also \(p | n\) and thus \(n\) has prime factor \(p\).
Theorem: There are infinitely many primes.
Proof. (due to Euclid) To show there are infinitely many primes, weโll show that every finite list of primes is missing a prime number, so the list of all primes canโt be finite.
To begin, there are prime numbers such as 2. Suppose \(p_1, \ldots, p_r\) is a finite list of prime numbers. We want to show this is not the full list of the primes. Consider the number
Since \(N > 1\), it has a prime factor \(p\) by Lemma 2.1. The prime \(p\) canโt be any of \(p_1, \ldots, p_r\) since \(N\) has remainder 1 when divided by each \(p_i\). Therefore \(p\) is a prime not on our list, so the set of primes canโt be finite.
Proof by mathematical induction#
Example
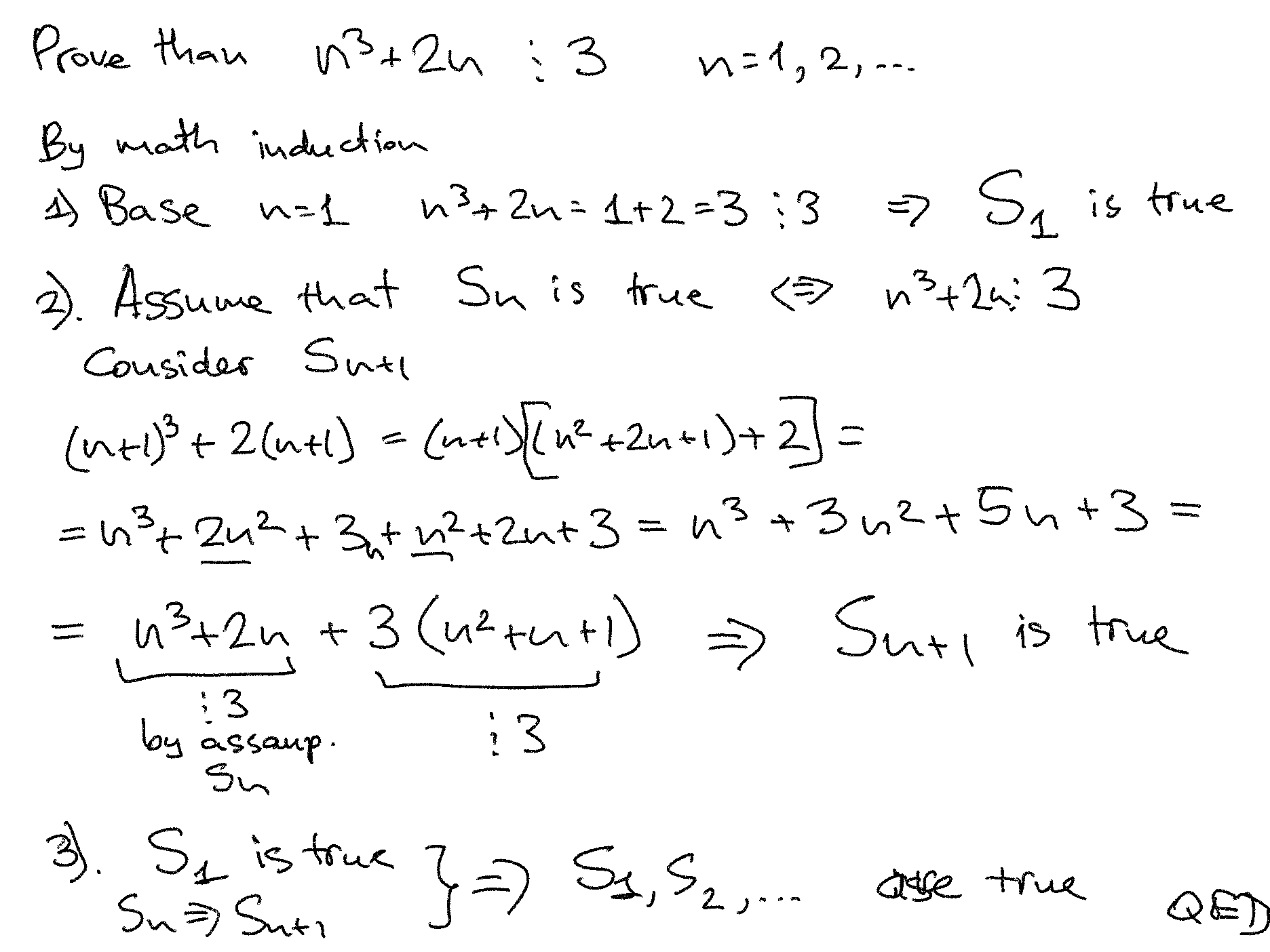
Prove that \(n^3+2n\) is divisible by 3 for all \(n=1,2,\dots\)
Proof
Base of the induction: For \(n=1\), we have \(1^3+2\cdot 1 = 3\) which is divisible by 3. \(S_1\) is true.
Induction step. Assume that \(n^3+2n\) is divisible by 3 for some \(n\), in other words that \(S_n\) is true. The job is to show that it is also true for \(n+1\), i.e. that \(S_{n+1}\) is true.
Writing the initial expression \(n^3+2n\) for \(n+1\) we have
The second term is obviously divisible by 3, and the first term is divisible by 3 by the induction hypothesis. Thus, we have shown that \(S_{n+1}\) is also true.
By the principle of mathematical induction, we have thus shown that \(n^3+2n\) is divisible by 3 for all \(n=1,2,\dots\) \(\blacksquare\)


