π Elements of logic and proofs#
β± | words
References and additional materials
Appendix A1.3
Appendix A.2, A.3, A.4
3blue1brown Grant Sandersonβs video tale of two problem solvers YouTube
The Wason selection paradox#
Mathematics relies on rules of logic
Yet, for human brain applying mathematical logic may be difficult, and dependent on the domain
Peter Cathcart Wason (1924 β 2003)
cognitive psychologist at University College, London
pioneered the psychology of reasoning
The Wason selection task
Given four cards showing 3, 8, blue and red faces, which
cards have to be flipped over to ensure the rule
if card shows even number on one side, the other side is blue
is satisfied?
Letβs play Wason Selection Task at Mentimeter
Analysis of Wason selection task
Let \(P\) denote
card shows even number on one sideLet \(Q\) denote
the side is blue
Number |
Color |
\(P\) |
\(Q\) |
Rule is satisfied |
|---|---|---|---|---|
Even |
Blue |
True |
True |
Yes |
Even |
Red |
True |
False |
No |
Odd |
Blue |
False |
True |
Yes |
Odd |
Red |
False |
False |
Yes |
the rule we are checking is \(P \implies Q\)
it is only brocken in case \(P\) is True and \(Q\) is False
therefore the two cards that have to be flipped are
Even, \(P\) is True
Red, \(Q\) is False
Definition
\(\implies\) denotes logical implication:
If whenever logical statment \(P\) is true, \(Q\) is also true, we write \(P \implies Q\).
Example
If \(x\) is an even number, then \(x^2\) is also an even number.
OR
\(x\) is an even \(\implies\) \(x^2\) is also even.
Necessary and Sufficient conditions#
Definition
\(P\) is a sufficient condition for \(Q\) means \(P \implies Q\)
\(P\) is a necessary condition for \(Q\) means \(Q \implies P\), or \(P \impliedby Q\)
Definition
\(P\) is said to be if and only if \(Q\) when \(P \implies Q\) and \(Q \implies P\), also written as \(P \iff Q\)
Example
Converse and contrapositive#
Definition
A logical statement \(P \implies Q\) is converse to \(Q \implies P\)
Note
There is no logical relationship between a statement and its converse!
basis for common logical mistakes
Example
βAll cats are animals who have tailsβ does not imply βAll animals with tails are catsβ
Definition
A logical statement opposite to \(P\) is denoted \(\neg P\)
Definition
A logical statement \(\neg P \implies \neg Q\) is contrapositive to \(Q \implies P\)
Fact: Contrapositive principle
The statement \(P \implies Q\) is equivalent to the statement \((\text{not } Q) \implies (\text{not }P)\):
this is very handy in proofs: instead of proving a statement it may be easier to prove its contrapositive
Example
We can check that the contrapositive is also true:
But the contrapositive is equivalent to the original statement.
Types of mathematical proofs#
Direct proof#
\(A\) is true \(\implies\) \(B\) is True \(\implies\) \(S\) is True
Example
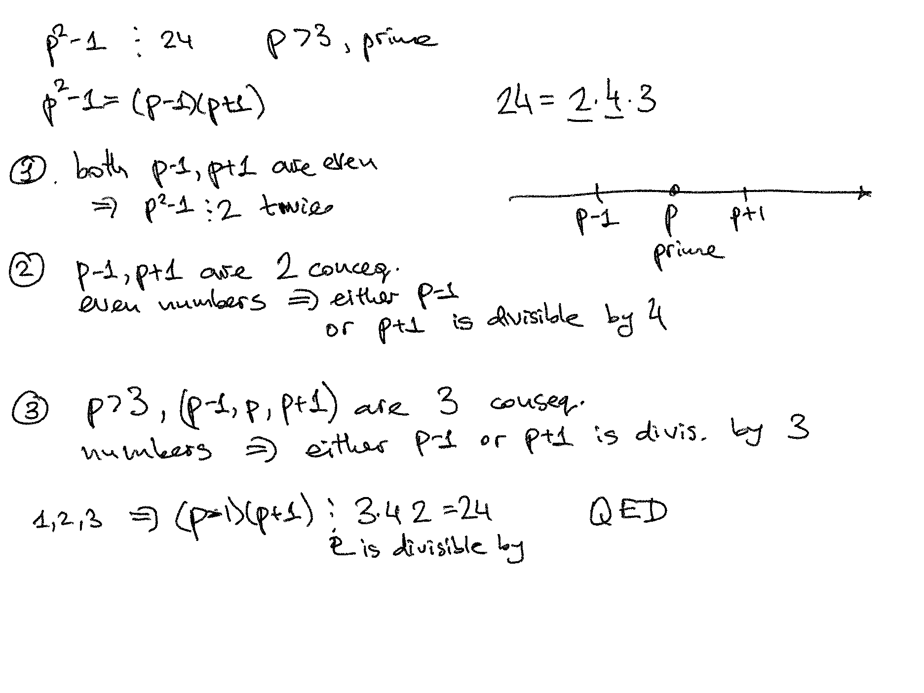
Prove that \(p^2-1\) is divisible by 24 for all prime \(p>3\).
Proof
Note that \(p^2-1 = (p-1)(p+1)\).
Since \(p\) is prime, \(p\) is odd and \(p-1\) and \(p+1\) are even. Thus, \(p^2-1\) is divisible by 2 twice.
Moreover, since \(p-1\) and \(p+1\) are two consecutive even numbers, one of them is divisible not only by 2, but also 4. Thus, \(p^2-1\) is divisible by 8.
Finally, since \(p-1\), \(p\), and \(p+1\) are three consecutive integers, one of them is divisible by 3.
Overall, we have that \(p^2-1 = (p-1)(p+1)\) is divisible by 2, by 4, and by 3, and thus by its product 24. \(\blacksquare\)
Note
The symbol \(\blacksquare\) marks the end of the proof, and is equivalent to the QED symbol (βquod erat demonstrandumβ, or βthat which was to be demonstratedβ).
Proof by contradiction#
Example
Prove that the set of prime numbers is infinite.
Proof
The standard proof of the infinitude of the primes is attributed to Euclid and uses the fact that all integers greater than 1 have a prime factor.
Lemma: Every integer greater than 1 has a prime factor.
Proof. We argue by induction (see below) that each integer \(n > 1\) has a prime factor. For the base case \(n = 2\), 2 is prime and is a factor of itself.
Now assume \(n > 2\), all integers greater than 1 and less than \(n\) have a prime factor. To show \(n\) has a prime factor, we take cases.
Case 1: \(n\) is prime. Since \(n\) is a factor of itself, \(n\) has a prime factor when \(n\) is prime.
Case 2: \(n\) is not prime. Since \(n\) is not prime, it has a factorization \(n = ab\) where \(1 < a,b < n\). Then by the inductive hypothesis, \(a\) has a prime factor, say \(p\). Since \(a\) is divisible by \(p\) and \(n\) is divisible by \(a\), so \(n\) is divisible by \(p\). Thus \(n\) has prime factor \(p\).
Theorem: There are infinitely many primes.
Proof. (due to Euclid) To show there are infinitely many primes, weβll show that every finite list of primes is missing a prime number, so the list of all primes canβt be finite.
Suppose \(p_1, \ldots, p_r\) is a finite list of prime numbers.
Then consider the number
Since \(N > 1\), it has a prime factor \(p\) by Lemma 2.1. The prime \(p\) canβt be any of \(p_1, \ldots, p_r\) since \(N\) has remainder 1 when divided by each \(p_i\). Therefore \(p\) is a prime not on our list. We arrive at a contradiction, and thus the set of primes canβt be finite.
Proof by mathematical induction#
Example
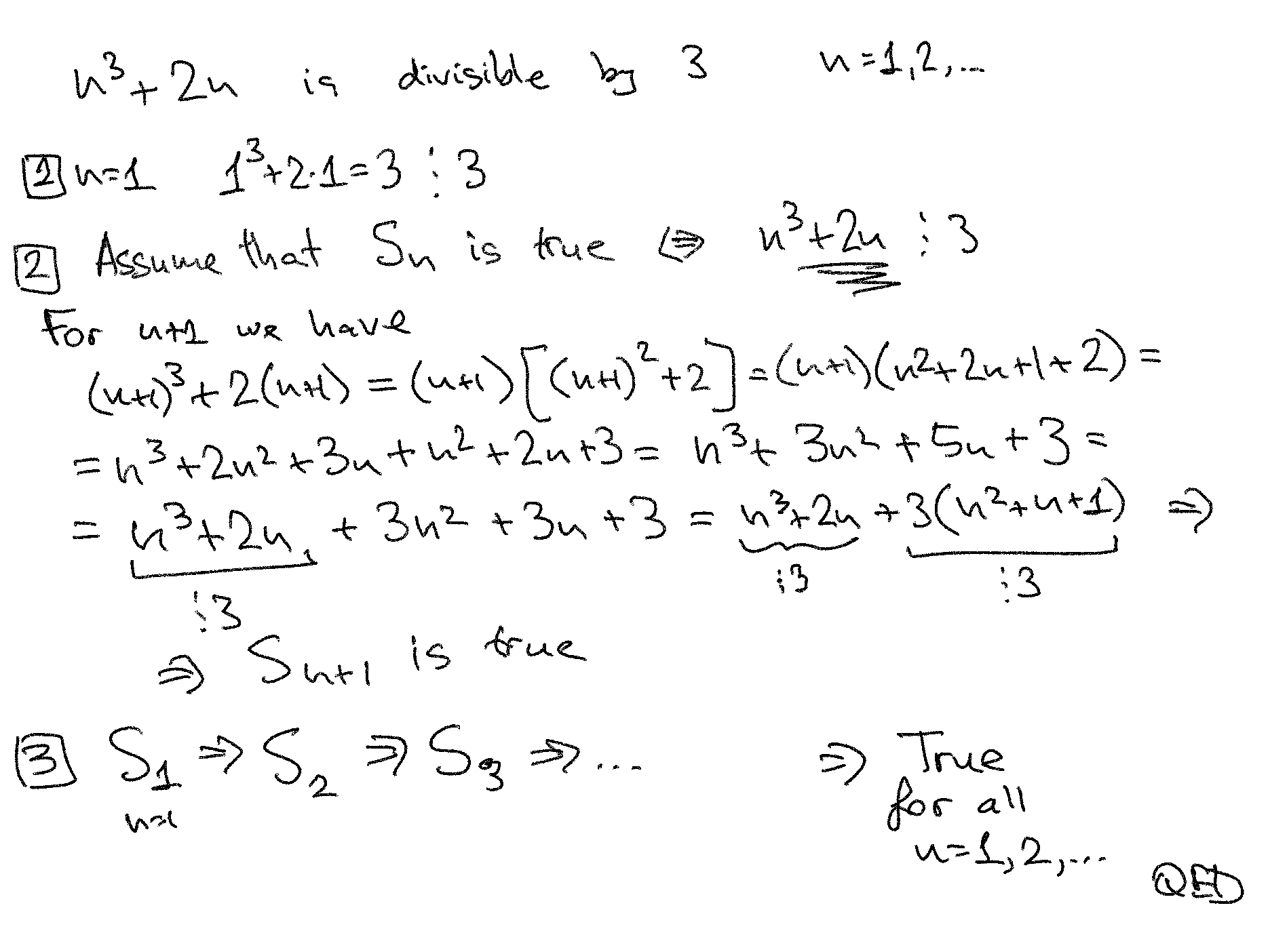
Prove that \(n^3+2n\) is divisible by 3 for all \(n=1,2,\dots\)
Proof
Base of the induction: For \(n=1\), we have \(1^3+2\cdot 1 = 3\) which is divisible by 3. \(S_1\) is true.
Induction step. Assume that \(n^3+2n\) is divisible by 3 for some \(n\), in other words that \(S_n\) is true. The job is to show that it is also true for \(n+1\), i.e. that \(S_{n+1}\) is true.
Writing the initial expression \(n^3+2n\) for \(n+1\) we have
The second term is obviously divisible by 3, and the first term is divisible by 3 by the induction hypothesis. Thus, we have shown that \(S_{n+1}\) is also true.
By the principle of mathematical induction, we have thus shown that \(n^3+2n\) is divisible by 3 for all \(n=1,2,\dots\) \(\blacksquare\)
Note
Be careful to make sure that the induction step holds for all \(n\) starting with the base case \(n=1\).
Example
Statement: all horses are the same color.
Base of the induction: for \(n=1\) there is only one horse, and only one color, so the statement holds for \(n=1\).
Induction step. Assume that any group of \(n\) horses are the same color. We can show that the same is true for any group of \(n+1\) horses.
Indeed, in the group of \(n+1\) hourses, take all but the one hourse: by induction hypothesis this subgroup of \(n\) horses is the same color. Now take all but another horse: by induction hypothesis this second subgroup of \(n\) horses is the same color. Thus, no different color can be observed, and therefore the groupd of \(n+1\) horse is the same color.
By the principle of mathematical induction, we have thus shown that all horses are the same color.
What is wrong with the proof?
The induction step fails for \(n=2\) when each of the two subgroups has only one horse, and thus the subgroups may in fact have two different colors.

